关键路径
一、基本概念
1.什么是AOE网
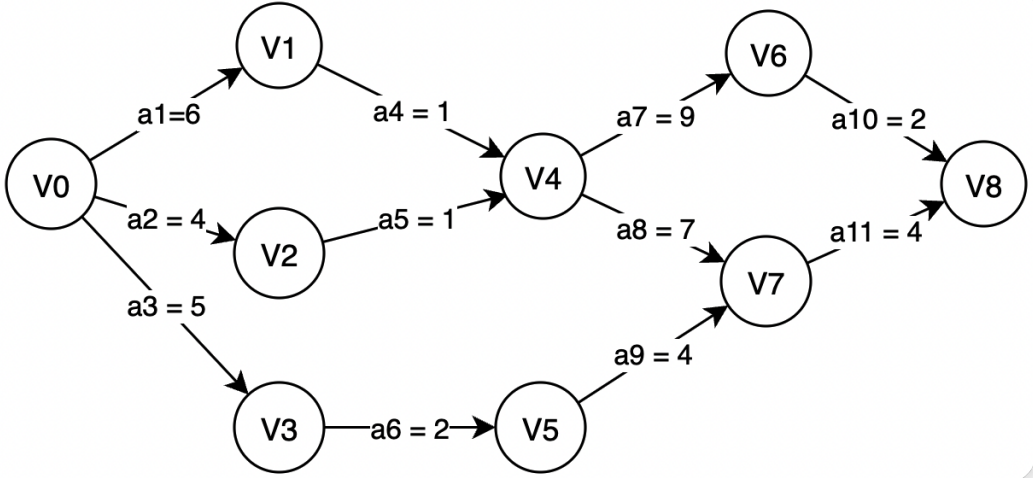
AOE网(ActivityOnEdg) 即边表示活动的网,是与AOV网(顶点表示活动)相对应的一个概念。而拓扑排序恰恰就是在AOV网上进行的,这是拓扑排序与关键路径最直观的联系。AOE网是一个带权的有向无环图,其中顶点表示事件(Event),弧表示活动,权表示活动持续的时间。下面的就是一个AOE网:
| ##container## |
|---|
![]() |
其中v0,V1,V2...V8表示事件,a1...a11表示活动,活动的取值表示完成该活动所需要的时间,如a1=6表示完成活动a1所需要的时间为6天。此外,每一事件Vi表示在它之前的活动已经完成,在它之后的活动可以开始,如V4表示活动a4和a5已经完成,活动a7和a8可以开始了。
2.AOE网的源点和汇点
由于一个工程中只有一个开始点和一个完成点,故将AOE网中入度为零的点称为源点,将出度为零的点称为汇点。
打个比方,我们现在有一个工程,就是将大象装进冰箱,那么源点就相当于我们现在接到这样一个任务,而汇点则表示我们完成了这个任务。那么我们之前所讲的打开冰箱门,将大象装进去,关上冰箱门就属于活动本身(即a1....a11所表示的信息),打开冰箱门所需要的时间就是活动所需要的时间,而完成某一个活动所到达的顶点就表示一个事件(冰箱门打开)。上图中的顶点V0表示源点,V8表示汇点。
3.什么是关键路径
唐僧师徒从长安出发去西天取经,佛祖规定只有四人一起到达西天方能取得真经。假如师徒四人分别从长安出发,走不同的路去西天:孙悟空一个筋斗云十万八千里,一盏茶的功夫就到了;八戒和沙和尚稍慢点也就一天左右的时间;而唐僧最慢需要14年左右。徒弟到达后是要等着师傅的。那么用时最长的唐僧所走的路,就是取经任务中的关键路径。其他人走的路径属于非关键路径。
由于AOE网中的有些活动是可以并行进行的(如活动a1、a2和a3就是可以并行进行的),所以完成工程的最短时间是从源点到汇点的最长路径的长度。路径长度最长的路径就叫做关键路径(Critical Path)。如下图中红色顶点和有向边构成的就是一条关键路径,关键路径的长度就是完成活动a1、a4和a9、a10所需要的时间总和,即为 6+1+9+2=18。
| ##container## |
|---|
![]() |
4.什么是ETV
ETV(Earliest Time Of Vertex):事件最早发生时间,就是顶点的最早发生时间;
事件V1的最早发生时间表示从源点V0出发到达顶点V1经过的路径上的权值之和,从源点V0出发到达顶点V1只经过了权值为6的边,则V1的最早发生时间为6,表示在活动a1完成之后,事件V1才可以开始;
同理,事件V5要发生(即最早发生)需要活动a3和活动a6完成之后才可以,故事件V5的最早发生时间为5+2=7。其他顶点(事件)的最早发生时间同理可的。需要说明,事件的最早发生时间一定是从源点到该顶点进行计算的。
5.什么是LTV
LTV(Latest Time OfVertex):事件最晚发生时间,就是每个顶点对应的事件最晚需要开始的时间,如果超出此时间将会延误整个工期。
前面在谈关键路径的概念时给出了一条上图中的关键路径,该关键路径(V0,V1,V4,V6,V8)的长度为18,为什么要提这个长度呢,因为要计算某一个事件的最晚发生时间,我们需要从汇点V8进行倒推。计算顶点V1的最晚发生时间为例,已知关键路径的长度为18,事件V1到汇点V8所需要的时间为 1+9+2=12,则事件V1的最晚发生时间为18-12=6,这时候我们发现,这和事件V2的最早发生时间不是一样吗?的确如此,对于关键路径上的顶点都满足最早发生时间etv 等于最晚发生时间Itv 的情况,这也是我们识别关键活动的关键所在。
再来计算一下事件V5的最晚发生时间,事件V5到汇点V8所需要的时间为4+4=8,则事件V5的最晚发生时间为 18-8=10;相当于说活动a6完成之后,大可以休息3天,再去完成活动a9也不会影响整个工期。
6.什么是ETE
ETE(Earliest Time Of Edge):活动的最早开工时间,就是弧的最早发生时间,就是事件的最早发生时间。
活动a4要最早开工时间为事件V1的最早发生时间6;同理,活动a9的最早开工时间为事件v5的最早发生时间7。显然活动的最早开工时间就是活动发生前的事件的最早开始时间。
7.什么是LTE
LTE(Lastest Time of Edge):活动的最晚开工时间,就是不推迟工期的最晚开工时间。
活动的最晚开工时间则是基于事件的最晚发生时间。比如活动a4的最晚开工时间为事件V4的最晚发生时间减去完成活动a4所需时间,即7-1=6;活动a9的最晚开工时间为事件V7的最晚发生时间减去完成活动a9所需时间,即 14-4=10;
从上面也就可以看出只要知道了每一个事件(顶点)的ETV和LTV,就可以推断出对应的ETE和LTE.此外还需要注意,关键路径是活动的集合,而不是事件的集合,所以当我们求得ETV和LTV 之后,还需要计算 ETE 和LTE。
二、关键路径算法
求关键路径的过程事实上最重要的就是上面提到的四个概念,ETV、LTV、ETE 和LTE,求得了ETE与LTE之后只需要判断两者是否相等,如果相等则为关键路径中的一条边,则输出。
| ##container## |
|---|
![]() |
三、代码
竞赛版
学习版
#include <stdio.h>
#include <stdlib.h>
typedef struct _AdjacencyListNode
{
int index;
int w;
struct _AdjacencyListNode *next; // 有权也可再加
} AdjacencyListNode;
typedef struct
{
char **show; // data 可以搞个唯一识别码
AdjacencyListNode **list;
/* 用于快速插入 */
int n;
int add_index;
int e_num;
/* 用于遍历 */
_Bool *tag_arr;
} AdjacencyList;
AdjacencyList *initAdjacencyList(int n); // 初始化邻接表
void addAdjacencyListNode(AdjacencyList *A, char *show); // 添加元素
_Bool connectAdjacencyListNode(AdjacencyList *A, char *show_1, char *show_2, int w); // 连接结点
void DFS(AdjacencyList *A, int index); // 深度优先遍历
void BFS(AdjacencyList *A, int index); // 广度优先遍历
void initTagArr(AdjacencyList *A);
void freeAdjacencyList(AdjacencyList *A);
void initTagArr(AdjacencyList *A)
{
for (int i = 0; i < A->n; ++i)
{
A->tag_arr[i] = 0;
}
}
AdjacencyList *initAdjacencyList(int n)
{
AdjacencyList* A = (AdjacencyList *)malloc(sizeof(AdjacencyList));
if (!A)
{
MALLOC_ERROR:
printf("MALLOC ERROR!\n");
return NULL;
}
A->show = (char **)malloc(sizeof(char *) * n);
if (!A->show)
goto MALLOC_ERROR;
A->list = (AdjacencyListNode **)malloc(sizeof(AdjacencyListNode *) * n);
if (!A->list)
goto MALLOC_ERROR;
A->tag_arr = (_Bool *)malloc(sizeof(_Bool) * n);
if (!A->tag_arr)
goto MALLOC_ERROR;
A->n = n;
initTagArr(A);
for (int i = 0; i < n; ++i)
{
A->list[i] = NULL;
}
A->add_index = 0;
A->e_num = 0;
return A;
}
void addAdjacencyListNode(AdjacencyList *A, char *show)
{
if (A->add_index == A->n)
return; // 满
A->show[A->add_index++] = show;
}
// 定义为 show_1 --> show_2 (有向图)
_Bool connectAdjacencyListNode(AdjacencyList *A, char *show_1, char *show_2, int w)
{
int i_1 = -1;
for (int i = 0; i < A->add_index; ++i)
{
if (A->show[i] == show_1)
{
i_1 = i;
break;
}
}
if (i_1 == -1)
return 0; // 没找到
int i_2 = -1;
for (int i = 0; i < A->add_index; ++i)
{
if (A->show[i] == show_2)
{
i_2 = i;
break;
}
}
if (i_2 == -1)
return 0; // 没找到
AdjacencyListNode *p = (AdjacencyListNode *)malloc(sizeof(AdjacencyListNode));
if (!p)
return 0; // malloc error!
++A->e_num;
p->w = w;
p->index = i_2;
p->next = A->list[i_1];
A->list[i_1] = p;
return 1;
}
void DFS(AdjacencyList *A, int index)
{
printf("%s ", A->show[index]);
A->tag_arr[index] = 1;
AdjacencyListNode *p = A->list[index];
while (p)
{
if (!A->tag_arr[p->index])
DFS(A, p->index);
p = p->next;
}
}
// 只能遍历连通图, 不连通需要再加个for!
void BFS(AdjacencyList *A, int index)
{
// 临时队列
int queue[A->add_index + 1];
int q_h = 0, q_t = 0;
queue[q_t++] = index;
A->tag_arr[index] = 1;
while (q_t != q_h)
{
printf("%s ", A->show[queue[q_h]]);
AdjacencyListNode *p = A->list[queue[q_h]];
while (p)
{
if (!A->tag_arr[p->index])
{
queue[q_t] = p->index;
A->tag_arr[p->index] = 1;
q_t = (q_t + 1) % (A->add_index + 1);
}
p = p->next;
}
q_h = (q_h + 1) % (A->add_index + 1);
}
}
void freeAdjacencyList(AdjacencyList *A)
{
for (int i = 0; i < A->add_index; ++i)
{
AdjacencyListNode *p = A->list[i];
AdjacencyListNode *tmp = NULL;
while (p)
{
tmp = p;
p = p->next;
free(tmp);
}
}
free(A->tag_arr);
free(A->show);
free(A->list);
free(A);
}
void criticalPath(AdjacencyList *A); // 输出关键路径
// 传入邻接表
void criticalPath(AdjacencyList *A)
{
// ETV、LTV、ETE 和 LTE,
// 求得了ETE与LTE之后只需要判断两者是否相等,如果相等则为关键路径中的⼀条边,则输出。
int *ETV = (int *)malloc(sizeof(int) * A->add_index);
if (!ETV)
{
ERROR:
printf("malloc error!\n");
return;
}
int *LTV = (int *)malloc(sizeof(int) * A->add_index);
if (!LTV)
goto ERROR;
int *ETE = (int *)malloc(sizeof(int) * A->e_num);
if (!ETE)
goto ERROR;
int *LTE = (int *)malloc(sizeof(int) * A->e_num);
if (!LTE)
goto ERROR;
// 构建一个数组, 通过一次邻接表的遍历, 得到对于元素的入度
int *penetration = (int *)malloc(sizeof(int) * A->add_index); // 入度数组
if (!penetration)
goto ERROR;
// 临时队列<线性>
int *queue = (int *)malloc(sizeof(int) * A->add_index);
if (!queue)
goto ERROR;
int queue_head = 0, queue_tail = 0;
int ETE_index = 0;
AdjacencyListNode *tmp = NULL;
// 初始化入度数组以及EELLVV
for (int i = 0; i < A->add_index; ++i)
{
penetration[i] = 0;
ETV[i] = 0;
LTV[i] = 0;
ETE[i] = 0;
LTE[i] = 0;
}
for (int i = A->add_index; i < A->e_num; ++i)
{
ETE[i] = 0;
LTE[i] = 0;
}
// 遍历邻接表
for (int i = 0; i < A->add_index; ++i)
{
tmp = A->list[i];
while (tmp)
{
++penetration[tmp->index];
tmp = tmp->next;
}
}
// 正式开始
for (int i = 0; i < A->add_index; ++i)
{
if (penetration[i] == 0)
{
// 寻找源点
// 只有一个入度为0的点(单源点)
penetration[i] = -1; // 记得要这个!!!
queue[queue_tail] = i;
queue_tail = (queue_tail + 1) % A->add_index;
// ETV[ETV_index++] = 0; // 因为初始化为0所以可以省略
break;
}
}
// 关键路径 - 拓扑排序
while (queue_head != queue_tail)
{
// 出队
int index = queue[queue_head];
// 删除
tmp = A->list[queue_head];
// printf("出队: %s [H:%d, T:%d]\n", A->show[queue_head], queue_head, queue_tail);
queue_head = (queue_head + 1) % A->add_index;
while (tmp)
{
--penetration[tmp->index];
// ETV
if (ETV[tmp->index] < ETV[index] + tmp->w) // max
{
// printf("[-->%s]%d < [%s]%d + [--[w]:%d-->%s]\n", A->show[tmp->index],ETV[tmp->index], A->show[index],ETV[index], tmp->w, A->show[tmp->index]);
ETV[tmp->index] = ETV[index] + tmp->w;
}
// ETE
// 因为边只会出现一次于循环中, 所以采用zero开始计数
ETE[ETE_index++] = ETV[index];
tmp = tmp->next;
}
for (int i = 0; i < A->add_index; ++i)
{
if (penetration[i] == 0) // 入度为0
{
penetration[i] = -1; // 标记为已处理
// 入队
queue[queue_tail] = i;
// printf("入队: %s [H:%d, T:%d]\n", A->show[i], queue_head, queue_tail);
queue_tail = (queue_tail + 1) % A->add_index;
}
}
}
// LTV
for (int i = A->add_index - 1, j = A->e_num - 1; i >= 0; --i)
{
int min = INT_MAX;
tmp = A->list[i];
while(tmp)
{
if (LTV[tmp->index] - tmp->w < min)
min = LTV[tmp->index] - tmp->w;
// LTE
// 从LTV取 j 的边指向的入度权 <这里很巧妙, 需要细细体会, 感觉不能描述 的喵~>
// 就是 j 必须会在 LTV处理好后使用
// LTE数组的索引是被规定的, 并且每次使用都是 i 结点的出度边,
// 并且因为这个边只会出现一次, 所以--j切换下一个位置
// 值得注意的是: 这个 j 会跳过LTV最后一个(LTV[i] = ETV[i];)因为这个条件下tmp==NULL, 但LTE索引位置不变(因为是在tmp!=NULL下才会计算的)
LTE[j] = LTV[tmp->index] - tmp->w;
tmp = tmp->next;
--j;
}
if (min == INT_MAX)
LTV[i] = ETV[i];
else
LTV[i] = min;
}
// 暂时输出:
printf("ETV: ");
for (int i = 0; i < A->add_index; ++i)
{
printf("%2d ", ETV[i]);
}
printf("\n");
printf("LTV: ");
for (int i = 0; i < A->add_index; ++i)
{
printf("%2d ", LTV[i]);
}
printf("\n");
printf("ETE: ");
for (int i = 0; i < A->e_num; ++i)
{
printf("%2d ", ETE[i]);
}
printf("\n");
printf("LET: ");
for (int i = 0; i < A->e_num; ++i)
{
printf("%2d ", LTE[i]);
}
printf("\n");
// 如果不用这些数组:
free(queue);
free(ETV);
free(LTV);
free(ETE);
free(LTE);
}
int main(void)
{
// - 关键路径 - 有向有权图并且只有一个入度为0的点(单源点)
// 邻接表
AdjacencyList *A = initAdjacencyList(9);
addAdjacencyListNode(A, "v0");
addAdjacencyListNode(A, "v1");
addAdjacencyListNode(A, "v2");
addAdjacencyListNode(A, "v3");
addAdjacencyListNode(A, "v4");
addAdjacencyListNode(A, "v5");
addAdjacencyListNode(A, "v6");
addAdjacencyListNode(A, "v7");
addAdjacencyListNode(A, "v8");
connectAdjacencyListNode(A, "v0", "v1", 6);
connectAdjacencyListNode(A, "v0", "v2", 4);
connectAdjacencyListNode(A, "v0", "v3", 5);
connectAdjacencyListNode(A, "v1", "v4", 1);
connectAdjacencyListNode(A, "v2", "v4", 1);
connectAdjacencyListNode(A, "v3", "v5", 2);
connectAdjacencyListNode(A, "v4", "v6", 9);
connectAdjacencyListNode(A, "v4", "v7", 7);
connectAdjacencyListNode(A, "v5", "v7", 4);
connectAdjacencyListNode(A, "v6", "v8", 2);
connectAdjacencyListNode(A, "v7", "v8", 4);
criticalPath(A);
getchar();
return 0;
}




