Prim算法
算法描述
普里姆算法在找最小生成树时,将顶点分为两类:
- 一类是在查找的过程中已经包含在生成树中的顶点(假设为A类),
- 剩下的为另一类(假设为B类)。
- 对于给定的连通网,起始状态全部顶点都归为B类。
- 在找最小生成树时,选定任意一个顶点作为起始点,并将之从 B 类移至 A 类;
- 然后找出 B 类中到 A 类中的顶点之间权值最小的顶点,将之从 B 类移至 A 类,
- 如此重复,直到B类中没有顶点为止。所走过的顶点和边就是该连通图的最小生成树。
举例
文
| ##container## |
|---|
![]() |
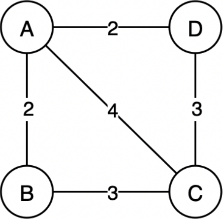
- 假如从顶点A出发,顶点 B、C、D 到顶点 A 的权值分别为 2、4、2,所以,对于顶点 A 来说,顶点 B 和顶点 D 到 A 的权值最小,假设先找到的顶点 B;
- 继续分析顶点 C 和 D,顶点 C 到 B 的权值为 3,到 A 的权值为 4;顶点 D 到 A 的权值为 2,到 B 的权值为无穷大(如果之间没有直接通路,设定权值为无穷大)。所以顶点 D 到 A 的权值最小;
- 最后,只剩下顶点 C,到 A 的权值为 4,到 B 的权值和到 D 的权值一样大,为 3。所以该连通图有两个最小生成树;
图
具体到算法, 则需要记录:
// 创建一个 Prim 算法 的记录数组
int *min_weight = (int *)malloc(sizeof(int) * G->add_index); // 记录权的最小值
int *connect = (int *)malloc(sizeof(int) * G->add_index); // 与谁的连接
_Bool *visit = (_Bool *)malloc(sizeof(_Bool) * G->add_index); // 是否被访问
| ##container## |
|---|
![]() |
代码
竞赛版
void prim_01(void)
{
const int INF = 1e6;
// 给出一个无向图,求出最小生成树,如果该图不连通,则输出 orz
int n, m;
scanf("%d %d", &n, &m);
vector<vector<int>> G(n, vector<int>(n, INF));
for (int i = 0, j, k, w; i < m; ++i) {
scanf("%d %d %d", &j, &k, &w);
// 考虑: 可能傻der会输入重复边
G[j - 1][k - 1] = min(G[j - 1][k - 1], w);
G[k - 1][j - 1] = min(G[k - 1][j - 1], w);
}
// prim 算法
vector<bool> if_G(n, 1); // 如果为 0 则是被选
vector<int> G_fd(n, -1); // 记录结点父节点 (不用输出该树, 则不需要这个)
vector<int> G_Wmin(n, INF); // 记录最小权值
G_Wmin[0] = 0;
for (int i = 0, j, k; ;) {
// 选择[0][j] 为第一个结点
k = -1;
for (j = 0; j < n; ++j) {
// 遍历判断 没有被选 的 最小权值
if (if_G[j]) {
// 判断这个结点的权值是否比当前结点的小
if (G[i][j] != INF && G[i][j] < G_Wmin[j]) {
// 有更小的权值: 更新一下
G_Wmin[j] = G[i][j];
G_fd[j] = i;
}
// 顺便在未被选的中选择最小的
if (k == -1 || G_Wmin[k] > G_Wmin[j]) {
k = j;
}
}
}
if (k == -1)
break;
if_G[k] = 0;
i = k;
}
int res = 0;
for (auto& it : G_Wmin) {
res += it;
}
if (res > INF)
printf("orz");
else
printf("%d\n", res);
}
学习版
#include <stdio.h>
#include <stdlib.h>
#define ARR_LEN_MAX 12
typedef int Element;
typedef struct
{
char **show; // 打印
int **weight; // 权
int *tagArray; // 用于遍历时候的标记
int side_num; // 边的个数
int add_index; // 结点数
int number; // 总大小
} AdjacencyMatrix;
AdjacencyMatrix *initAdjacencyMatrix(int n); // 初始化AdjacencyMatrix
void addAdjacencyMatrix(AdjacencyMatrix *A, char *show); // 添加元素
void connectAdjacencyMatrix(AdjacencyMatrix *A, char *show_1, char *show_2, int weight); // 连接元素
void initTagArray(AdjacencyMatrix *A); // 重置遍历的标记数组 (-1)
void DFS(AdjacencyMatrix *A, int index); // 深度优先遍历
void BFS(AdjacencyMatrix *A); // 广度优先遍历
void freeAdjacencyMatrix(AdjacencyMatrix *A); // 免费
AdjacencyMatrix *initAdjacencyMatrix(int n)
{
AdjacencyMatrix *A = (AdjacencyMatrix *)malloc(sizeof(AdjacencyMatrix));
if (!A)
{
MALLOC_ERROR:
printf("Malloc ERROR!\n");
return NULL;
}
A->show = (char **)malloc(sizeof(char *) * n);
if (!A->show)
goto MALLOC_ERROR;
A->weight = (int **)malloc(sizeof(int *) * n);
if (!A->weight)
goto MALLOC_ERROR;
for (int i = 0; i < n; ++i)
{
A->weight[i] = (int *)malloc(sizeof(int) * n);
if (!A->weight[i])
goto MALLOC_ERROR;
for (int j = 0; j < n; ++j)
A->weight[i][j] = 0; // 这个是标记数_可改, 记0为未连接
}
A->side_num = 0;
A->add_index = 0;
A->number = n;
A->tagArray = (int *)malloc(sizeof(int) * n);
if (!A->tagArray)
goto MALLOC_ERROR;
initTagArray(A);
return A;
}
void addAdjacencyMatrix(AdjacencyMatrix *A, char *show)
{
if (A->add_index == A->number)
return; // ERROR
A->show[A->add_index++] = show;
}
void initTagArray(AdjacencyMatrix *A)
{
for (int i = 0; i < A->number; ++i)
A->tagArray[i] = -1;
}
void connectAdjacencyMatrix(AdjacencyMatrix *A, char *show_1, char *show_2, int weight)
{
int s_1 = -1;
for (int i = 0; i < A->number; ++i)
{
if (A->show[i] == show_1)
s_1 = i;
}
if (s_1 == -1)
return; // 找不到
int s_2 = -1;
for (int i = 0; i < A->number; ++i)
{
if (A->show[i] == show_2)
s_2 = i;
}
if (s_2 == -1)
return; // 找不到
A->weight[s_1][s_2] = weight;
A->weight[s_2][s_1] = weight;
++A->side_num;
}
// 注意遍历的是连通图
void DFS(AdjacencyMatrix *A, int index)
{
printf("%s ", A->show[index]);
A->tagArray[index] = 1;
for (int i = 0; i < A->add_index; ++i)
{
if (A->weight[index][i] != 0 && A->tagArray[i] == -1)
{
DFS(A, i);
}
}
}
// 依旧是连通图
// 复杂过头了吧...
void BFS(AdjacencyMatrix *A)
{
// 临时队列
int queue[A->add_index];
int q_h = 0;
int q_t = 0;
printf("%s ", A->show[0]);
A->tagArray[0] = 1;
for (int i = 0; i < A->add_index; ++i)
{
for (int j = 0; j < A->add_index; ++j)
{
if (A->weight[i][j] != 0 && A->tagArray[j] == -1)
{
A->tagArray[j] = 1;
queue[q_t++] = j;
q_t = q_t % A->add_index;
}
}
if (q_h != q_t)
break;
}
while (q_h != q_t)
{
printf("%s ", A->show[queue[q_h]]);
for (int i = 0; i < A->add_index; ++i)
{
if (A->weight[queue[q_h]][i] != 0 && A->tagArray[i] == -1)
{
A->tagArray[q_t == 0 ? A->add_index - 1 : q_t - 1] = 1;
queue[q_t++] = i;
q_t = q_t % A->add_index;
}
}
++q_h;
q_h = q_h % A->add_index;
}
}
void freeAdjacencyMatrix(AdjacencyMatrix *A)
{
free(A->show);
for (int i = 0; i < A->number; ++i)
{
free(A->weight[i]);
}
free(A->weight);
free(A->tagArray);
free(A);
}
typedef struct
{
int begin; // 开始端点
int end; // 结束端点
int weight; // 权
} Edge;
typedef struct
{
int *vertex; // 顶点集 (G的索引)
Edge *side; // 边集
int side_len; // 边集长度
int vertex_len; // 顶点集长度
} EdgeSet; // 边集数组
// prim
EdgeSet *prim(AdjacencyMatrix *G, int s_index); // 给入一个 邻接矩阵, 返回一个最小生成树
// 获取权和
int getWeightSum(const AdjacencyMatrix *G,const EdgeSet *E)
{
int res = 0;
printf("最小生成树边为 %d\n", E->side_len);
for (int i = 0; i < E->side_len; ++i)
{
//printf("%d--%d--%d\n", E->side[i].begin, E->side[i].weight, E->side[i].end);
printf("%s--%d--%s\n", G->show[E->side[i].begin], E->side[i].weight, G->show[E->side[i].end]);
res += E->side[i].weight;
}
return res;
}
EdgeSet *prim(AdjacencyMatrix *G, int s_index)
{
// 创建 返回的边集数组
EdgeSet *resES = (EdgeSet *)malloc(sizeof(EdgeSet));
if (!resES)
{
ERROR:
printf("malloc error!\n");
return NULL;
}
resES->side = (Edge *)malloc(sizeof(Edge) * (G->add_index - 1));
if (!resES->side)
goto ERROR;
resES->vertex = (int *)malloc(sizeof(int) * G->side_num);
if (!resES->vertex)
goto ERROR;
for (int i = 0, k = 0; i < G->add_index; ++i)
{
resES->vertex[i] = i;
}
resES->side_len = G->add_index - 1; // dddd
resES->vertex_len = G->add_index;
// 创建一个 Prim 算法 的记录数组
int *min_weight = (int *)malloc(sizeof(int) * G->add_index); // 记录权的最小值
int *connect = (int *)malloc(sizeof(int) * G->add_index); // 与谁的连接
_Bool *visit = (_Bool *)malloc(sizeof(_Bool) * G->add_index); // 是否被访问
for (int i = 0; i < G->add_index; ++i)
{ // 初始化
min_weight[i] = INT_MAX;
connect[i] = -1;
visit[i] = 0;
}
int index = s_index, // 当前访问的结点
add_index = 0; // 边集数组添加的索引
visit[index] = 1;
// 正式开始 在邻接矩阵里面访问就行了
while (1)
{
int weight_min_node = -1; // 记录当前循环中权值最小的结点的索引 下次循环就是
for (int i = 0; i < G->add_index; ++i)
{
if (visit[i]) // 访问过的跳过
continue;
if (G->weight[index][i] != 0) // 0是无效值
{
if (G->weight[index][i] < min_weight[i])
{
min_weight[i] = G->weight[index][i];
connect[i] = index;
}
}
if ((weight_min_node == -1 && min_weight[i] != INT_MAX) || min_weight[weight_min_node] > min_weight[i])
weight_min_node = i;
}
if (weight_min_node == -1)
break;
visit[weight_min_node] = 1;
resES->side[add_index].begin = weight_min_node;
resES->side[add_index].end = connect[weight_min_node];
resES->side[add_index].weight = min_weight[weight_min_node];
++add_index;
// printf("index = %d ||%d -- %d -- %d\n", index ,weight_min_node, min_weight[weight_min_node], connect[weight_min_node]);
index = weight_min_node;
}
// 释放资源
free(connect);
free(min_weight);
free(visit);
return resES;
}
void text(void)
{
AdjacencyMatrix *A = initAdjacencyMatrix(6);
addAdjacencyMatrix(A, "A");
addAdjacencyMatrix(A, "B");
addAdjacencyMatrix(A, "C");
addAdjacencyMatrix(A, "D");
addAdjacencyMatrix(A, "E");
addAdjacencyMatrix(A, "F");
connectAdjacencyMatrix(A, "E", "F", 5);
connectAdjacencyMatrix(A, "E", "A", 2);
connectAdjacencyMatrix(A, "E", "C", 4);
connectAdjacencyMatrix(A, "E", "B", 10);
connectAdjacencyMatrix(A, "A", "F", 3);
connectAdjacencyMatrix(A, "D", "F", 4);
connectAdjacencyMatrix(A, "D", "C", 1);
connectAdjacencyMatrix(A, "B", "C", 3);
connectAdjacencyMatrix(A, "B", "A", 7);
DFS(A, 0);
putchar('\n');
EdgeSet *eSet = prim(A, 0);
printf("\n最小生成树的权和是 %d\n", getWeightSum(A, eSet));
// 释放pass
}
int main(void)
{
// - 最小生成树 - Prim算法 - 无向有权图
// 寻找连通图的 权和最小 连通子图, 无环
/*
* Prim 算法 -- 贪心算法
* */
text();
getchar();
return 0;
}



