跳到主要内容

赫夫曼树

哈夫曼树相关的几个名词

  • 路径
    • 在一棵树中,一个结点到另一个结点之间的通路,称为路径。
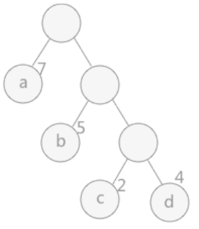
    • 从根结点到结点a之间的通路就是一条路径。
  • 路径长度
    • 在一条路径中,每经过一个结点,路径长度都要加1。
    • 例如在一棵树中,规定根结点所在层数为1层,那么从根结点到第i层结点的路径长度为i-1。
    • 从根结点到结点c 的路径长度为 3。
  • 节点的权
    • 给每一个结点赋予一个新的数值,被称为这个结点的权。
    • 例如,结点 a 的权为 7,结点 b 的权为 5。
  • 节点的带权路径长度
    • 指的是从根结点到该结点之间的路径长度与该结点的权的乘积。
    • 例如,结点 b 的带权路径长度为 2 * 5 = 10。

树的带权路径长度为树中所有叶子结点的带权路径长度之和。通常记作WPL.

例如图中所示的这颗树的带权路径长度为:

WPL=17+25+3(2+4)WPL = 1 * 7 + 2 * 5 + 3 * (2 + 4)

Clip_2024-01-28_11-47-32.png ##w200##

什么是赫夫曼树

当用n个结点(都做叶子结点且都有各自的权值)试图构建一棵树时,如果构建的这棵树的带权路径长度最小,称这棵树为“最优二叉树”,有时也叫“赫夫曼树”或者“哈夫曼树”

构建赫夫曼树

对于给定的有各自权值的n个结点,构建哈夫曼树有一个行之有效的办法:

  1. 在n个权值中选出两个最小的权值,对应的两个结点组成一个新的二叉树,且新二叉树的根结点的权值为左右孩子权值的和;
  2. 在原有的 n 个权值中删除那两个最小的权值,同时将新的权值加入到 n-2 个权值的行列中,以此类推;
  3. 重复1和2,直到所以的结点构建成了一棵二叉树为止,这棵树就是哈夫曼树。
##container##
Clip_2024-01-28_11-52-20.png ##w380##

赫夫曼编码

什么是赫夫曼编码

在数据传送时,信息表现为0和1的二进制形式。为了提高传输的速度,可以采用变长的编码方式,寻找更优的编码方式。同时,必须要保证编码不存在二义性(任意字符编码都不是其它字符编码的前缀)。

哈夫曼编码就是符合上述要求的编码方式,采用自底向上的形式构造哈夫曼树。按照字符的概率分配码长,实现平均码长最短的编码。

赫夫曼编码为什么不会出现重复前缀?

  • 例如: 有 100 绝对没有 1001
    • 为什么呢? 因为如果有 100 说明 这个已经是叶结点了, 而1001的出现是需要 一个双亲结点 100 作为前置条件的, 而这个倆不会同时满足, 证毕

代码实现

#include <stdio.h>
#include <stdlib.h>

#define OK 1 // 程序正常运行
#define ERROR 0 // 程序运行报错

typedef char ElemType;

typedef struct
{
ElemType *data; // 数据
int *weight; // 权
int *parent; // 父结点 (线性存储需要的, 不然没有头指针, 找不到根开始, 需要一个条件 i == parent_index)
int *left; // 左子树
int *right; // 右子树
} HuffmanTree;

HuffmanTree *initHuffmanTree(int NodeNum); // 创建一颗赫夫曼树
_Bool structureHuffmanTree(HuffmanTree *H, ElemType *e, int *w, int NodeNum); // 构建赫夫曼树
char **getHuffmanCode(HuffmanTree *H, int NodeNum); // 生成赫夫曼编码
_Bool freeHuffmanTree(HuffmanTree **H); // 释放赫夫曼树
_Bool freeHuffmanCode(char ***HC, int NodeNum); // 释放赫夫曼编码

HuffmanTree *initHuffmanTree(int NodeNum)
{
int n = 2 * NodeNum - 1;
HuffmanTree *H = (HuffmanTree *)malloc(sizeof(HuffmanTree));
if (!H)
{
MALLOC_ERROR:
printf("Malloc ERROR!\n");
return NULL;
}

H->data = (ElemType *)malloc(sizeof(ElemType) * n);
if (!H->data)
goto MALLOC_ERROR;

H->parent = (int *)malloc(sizeof(int) * n);
if (!H->parent)
goto MALLOC_ERROR;

H->left = (int *)malloc(sizeof(int) * n);
if (!H->left)
goto MALLOC_ERROR;

H->right = (int *)malloc(sizeof(int) * n);
if (!H->right)
goto MALLOC_ERROR;

H->weight = (int *)malloc(sizeof(int) * n);
if (!H->weight)
goto MALLOC_ERROR;

return H;
}

// static void _bubble_sort(ElemType *e, int *w, int NodeNum)
// {
// // 冒泡排序, 不要, 因为本来就是全遍历的...
// _Bool tag = 1;
// for (int i = 0; i < NodeNum; ++i)
// {
// tag = 1;
// for (int j = i + 1; j < NodeNum; ++j)
// {
// if (w[i] > w[j])
// {
// w[i] = w[i] ^ w[j];
// w[j] = w[i] ^ w[j];
// w[i] = w[i] ^ w[j];

// e[i] = e[i] ^ e[j];
// e[j] = e[i] ^ e[j];
// e[i] = e[i] ^ e[j];

// tag = 0;
// }
// }
// if (tag)
// break;
// }
// }

_Bool structureHuffmanTree(HuffmanTree *H, ElemType *e, int *w, int NodeNum)
{
// _bubble_sort(e, w, NodeNum);
// for (int i = 0 ; i < NodeNum; ++i)
// printf("%d --- %c\n", w[i], e[i]);
for (int i = 0; i < NodeNum; ++i)
{
H->data[i] = e[i];
H->parent[i] = i;
H->weight[i] = w[i];
// -1 代表是叶结点
H->left[i] = -1;
H->right[i] = -1;
}

int n = 2 * NodeNum - 1;
for (int i = NodeNum; i < n; ++i)
{
H->parent[i] = i;
}



int zero_node = n - NodeNum;
int min_i = -1, min_2_i = -1;
while (zero_node)
{
for (int i = 0; i < NodeNum; ++i) // 寻找两个权最小的结点
{
if (H->parent[i] == i && (min_i == -1 || H->weight[i] < H->weight[min_i]))
{
min_2_i = min_i;
min_i = i;
}

if (H->parent[i] == i && (min_2_i == -1 || H->weight[i] < H->weight[min_2_i]) && min_i != i)
{
min_2_i = i;
}
}

for (int i = NodeNum; i < n; ++i) // 寻找一个空的结点, 作为合并后的结点
{
// 找到合适人选
++NodeNum;
H->parent[min_i] = i;
H->parent[min_2_i] = i;
H->data[i] = 1;
H->left[i] = min_i;
H->right[i] = min_2_i;
H->weight[i] = H->weight[min_i] + H->weight[min_2_i];
--zero_node;
break;
}
min_i = -1, min_2_i = -1;
}
}

char **getHuffmanCode(HuffmanTree *H, int NodeNum)
{
char **str_arr = (char **)malloc(sizeof(char *) * NodeNum);
for (int i = 0; i < NodeNum; ++i)
{
str_arr[i] = (char *)malloc(sizeof(char) * (NodeNum + 1));
if (!str_arr[i])
{
printf("Malloc ERROR!\n");
return NULL;
}
}

// lz知道父节点az
for (int i = 0; i < NodeNum; ++i)
{
int k = i, tmp = k;
for (int j = 0; j < NodeNum + 1; ++j)
{
if (H->parent[k] != k)
{
tmp = k;
k = H->parent[k];
str_arr[i][j] = H->left[k] == tmp ? '0' : '1';
}
else
{
str_arr[i][j] = '\0';
}
}
}

return str_arr;
}

_Bool freeHuffmanTree(HuffmanTree **H)
{
free(*H);
*H = NULL;
return OK;
}

_Bool freeHuffmanCode(char ***HC, int NodeNum)
{
for (int i = 0; i < NodeNum; ++i)
{
free((*HC)[i]);
}
free(*HC);
*HC = NULL;
return 1;
}

void text(void);

void text(void)
{
int w[] = {9,8,7,6,5,5};
ElemType data[] = {'A', 'B', 'C', 'D', 'E', 'F'};
int len = sizeof(w) / sizeof(w[0]);
HuffmanTree *tree = initHuffmanTree(len);
structureHuffmanTree(tree, data, w, len);

// for (int i = 0; i < 2 * len - 1; ++i)
// printf("[%d] 结点%c: 父结点[%d], 左子树[%d], 右子树[%d], 权为[%d]\n", i, tree->data[i], tree->parent[i], tree->left[i], tree->right[i], tree->weight[i]);

char **HuffmanCode = getHuffmanCode(tree, len);
for (int i = 0; i < len; ++i)
printf("%c --> %s\n", data[i], HuffmanCode[i]);

freeHuffmanTree(&tree);
freeHuffmanCode(&HuffmanCode, len);
}

int main(void)
{
// - 赫夫曼编码 - 线性存储 的 实现
text();

return 0;
}

C
请作者喝奶茶:
Alipay IconQR Code
Alipay IconQR Code
本文遵循 CC CC 4.0 BY-SA 版权协议, 转载请标明出处
Loading Comments...